Упр.101 ГДЗ Дорофеев Суворова 8 класс (Алгебра)
Решение #1

Рассмотрим вариант решения задания из учебника Дорофеев, Суворова, Бунимович 8 класс, Просвещение:
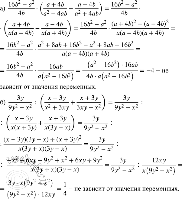
101. Докажите, что значение выражения не зависит от значений переменных:
а) (16b^2-a^2)/4b•((a+4b)/(a^2-4ab)-(a-4b)/(a^2+4ab));
б) 3y/(9y^2-x^2 ) :((x-3y)/(x^2+3xy)+(x+3y)/(3xy-x^2 )).
*размещая тексты в комментариях ниже, вы автоматически соглашаетесь с пользовательским соглашением