Упр.124 ГДЗ Макарычев Миндюк 9 класс (Углубленный) (Алгебра)
Решение #1

Рассмотрим вариант решения задания из учебника Макарычев, Миндюк, Нешков 9 класс, Просвещение:
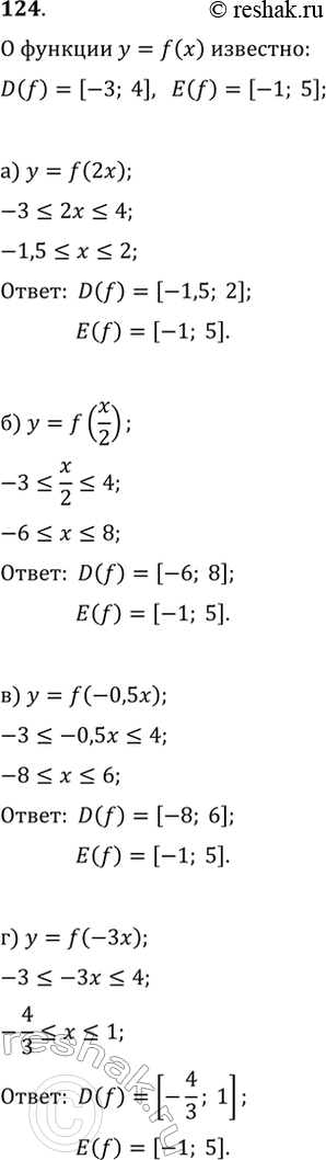
124. Функция y=f(x) имеет область определения D(f)=[-3; 4] и область значений E(f)=[-1; 5]. Найдите область определения и область значений функции:
а) y=f(2x); б) y=f(x/2); в) y=f(-0,5x); г) y=f(-3x).
*размещая тексты в комментариях ниже, вы автоматически соглашаетесь с пользовательским соглашением