Упр.125 ГДЗ Колягин Ткачёва 7 класс (Алгебра)
Решение #1

Рассмотрим вариант решения задания из учебника Колягин, Ткачёва, Фёдорова 7 класс, Просвещение:
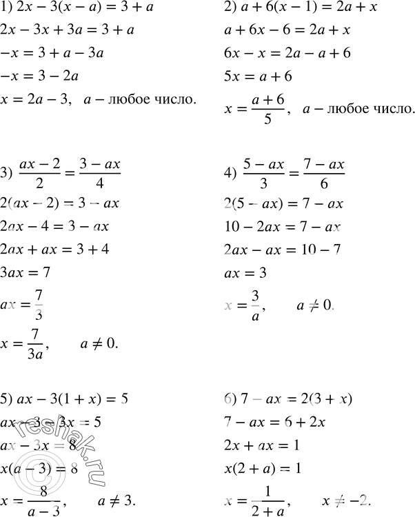
125. Решить уравнение, принимая за неизвестное x, и выяснить, при каких значениях a это уравнение имеет корни:
1) 2x-3(x-a)=3+a;
2) a+6(x-1)=2a+x;
3) (ax-2)/2=(3-ax)/4;
4) (5-ax)/3=(7-ax)/6;
5) ax-3(1+x)=5;
6) 7-ax=2(3+x).
*размещая тексты в комментариях ниже, вы автоматически соглашаетесь с пользовательским соглашением