Упр.139 ГДЗ Дорофеев Суворова 8 класс (Алгебра)
Решение #1

Рассмотрим вариант решения задания из учебника Дорофеев, Суворова, Бунимович 8 класс, Просвещение:
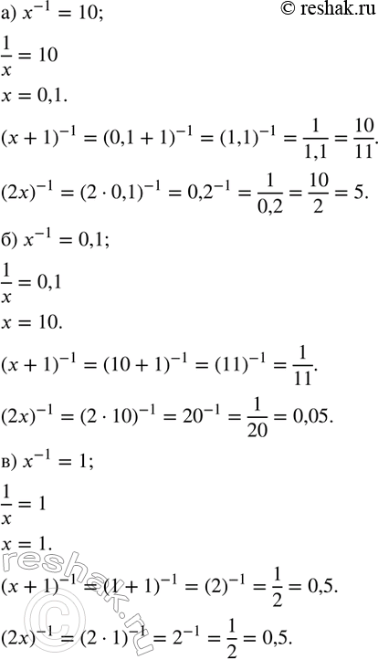
139. Найдите значение каждого из выражений x, (x+1)^(-1) и (2x)^(-1), если известно, что:
а) x^(-1)=10;
б) x^(-1)=0,1;
в) x^(-1)=1.
*размещая тексты в комментариях ниже, вы автоматически соглашаетесь с пользовательским соглашением