Упр.147 ГДЗ Дорофеев Суворова 8 класс (Алгебра)
Решение #1

Рассмотрим вариант решения задания из учебника Дорофеев, Суворова, Бунимович 8 класс, Просвещение:
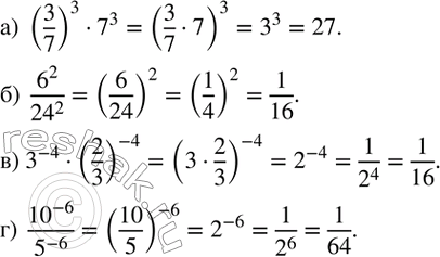
147. Найдите значение выражения:
а) (3/7)^3•7^3;
б) 6^2/?24?^2 ;
в) 3^(-4)•(2/3)^(-4);
г) ?10?^(-6)/5^(-6) .
*размещая тексты в комментариях ниже, вы автоматически соглашаетесь с пользовательским соглашением