Упр.168 ГДЗ Муравин 7 класс (Алгебра)
Решение #1

Рассмотрим вариант решения задания из учебника Муравин, Муравина 7 класс, Дрофа:
168. 1) Постройте график функции у = —2х + 6. Используя построенный график, определите:
а) какое значение принимает функция при х, равном: -1,5; 0; 2,5; 5; 6,5;
б) при каком значении аргумента значение функции равно: -5; -1; 0; 3.
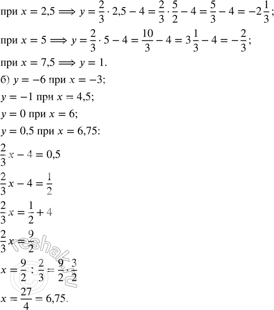
2) Постройте график фупкции у = 2/3 x - 4. Используя построенный график, определите:
а) какое значение принимает функция при х, равном: —3; —1; 0; 2,5; 5; 7,5;
б) при каком значении аргумента значение функции равно: -6; -1; 0; 0,5.
*размещая тексты в комментариях ниже, вы автоматически соглашаетесь с пользовательским соглашением