Упр.184 ГДЗ Муравин 7 класс (Алгебра)
Решение #1

Рассмотрим вариант решения задания из учебника Муравин, Муравина 7 класс, Дрофа:
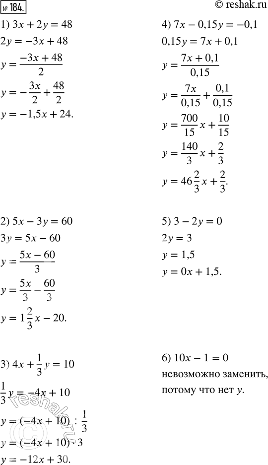
184. Замените данное уравнение равносильным ему уравнением вида у = kx + l:
1) 3х + 2у = 48; 4) 7х - 0,15y = -0,1;
2) 5х - 3у = 60; 5) 3 - 2у = 0;
3) 4х + 1/3 у = 10; 6) 10x - 1 = 0.
*размещая тексты в комментариях ниже, вы автоматически соглашаетесь с пользовательским соглашением