Упр.200 ГДЗ Колягин Ткачёва 7 класс (Алгебра)
Решение #1

Рассмотрим вариант решения задания из учебника Колягин, Ткачёва, Фёдорова 7 класс, Просвещение:
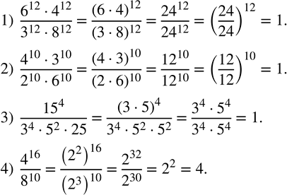
200. Вычислить:
1) (6^12•4^12)/(3^12•8^12 );
2) (4^10•3^10)/(2^10•6^10 );
3) ?15?^4/(3^4•5^2•25);
4) 4^16/8^10 .
*размещая тексты в комментариях ниже, вы автоматически соглашаетесь с пользовательским соглашением