Упр.236 ГДЗ Дорофеев Суворова 8 класс (Алгебра)
Решение #1

Рассмотрим вариант решения задания из учебника Дорофеев, Суворова, Бунимович 8 класс, Просвещение:
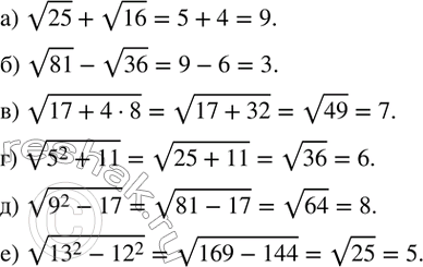
236. Вычислите:
а) v25+v16;
б) v81-v36;
в) v(17+4•8);
г) v(5^2+11);
д) v(9^2-17);
е) v(?13?^2-?12?^2 ).
*размещая тексты в комментариях ниже, вы автоматически соглашаетесь с пользовательским соглашением