Упр.241 ГДЗ Дорофеев Суворова 8 класс (Алгебра)
Решение #1

Рассмотрим вариант решения задания из учебника Дорофеев, Суворова, Бунимович 8 класс, Просвещение:
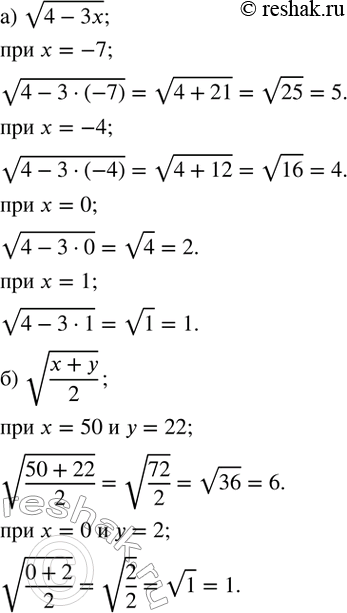
241. Найдите значение выражения при заданных значениях переменных:
а) v(4-3x) при x=-7; -4;0;1;
б) v((x+y)/2) при x=50 и y=22; x=0 и y=2.
*размещая тексты в комментариях ниже, вы автоматически соглашаетесь с пользовательским соглашением