Упр.246 ГДЗ Дорофеев Суворова 8 класс (Алгебра)
Решение #1

Рассмотрим вариант решения задания из учебника Дорофеев, Суворова, Бунимович 8 класс, Просвещение:
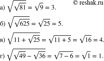
246. Найдите значение выражения:
а) v(v81) ;
б) v(v625) ;
в) v(11+v25) ;
г) v(v49-v36) .
*размещая тексты в комментариях ниже, вы автоматически соглашаетесь с пользовательским соглашением