Упр.253 ГДЗ Дорофеев Суворова 8 класс (Алгебра)
Решение #1

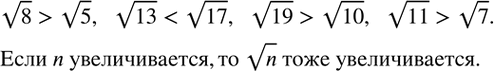
Рассмотрим вариант решения задания из учебника Дорофеев, Суворова, Бунимович 8 класс, Просвещение:
253. Пользуясь таблицей (см. упражнение 252), сравните: v8 и v5, v13 и v17, v19 и v10, v11 и v7.
Как меняются значения vn с увеличение n?
*размещая тексты в комментариях ниже, вы автоматически соглашаетесь с пользовательским соглашением