Упр.27 ГДЗ Дорофеев Суворова 8 класс (Алгебра)
Решение #1

Рассмотрим вариант решения задания из учебника Дорофеев, Суворова, Бунимович 8 класс, Просвещение:
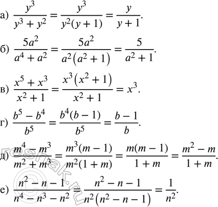
27. Сократите дробь:
а) y^3/(y^3+y^2 );
б) (5a^2)/(a^4+a^2 );
в) (x^5+x^3)/(x^2+1);
г) (b^5-b^4)/b^5;
д) (m^4-m^3)/(m^2+m^3 );
е) (n^2-n-1)/(n^4-n^3-n^2 ).
*размещая тексты в комментариях ниже, вы автоматически соглашаетесь с пользовательским соглашением