Упр.276 ГДЗ Дорофеев Суворова 7 класс (Алгебра)
Решение #1

Рассмотрим вариант решения задания из учебника Дорофеев, Суворова, Бунимович 10-11 класс, Просвещение:
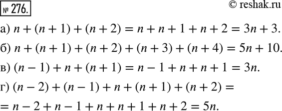
276 Запишите и упростите сумму:
а) трёх последовательных натуральных чисел, начиная с числа n;
б) пяти последовательных натуральных чисел, начиная с n;
в) трёх последовательных натуральных чисел, среднее из которых равно n;
г) пяти последовательных натуральных чисел, среднее из которых равно n.
*размещая тексты в комментариях ниже, вы автоматически соглашаетесь с пользовательским соглашением