Упр.281 ГДЗ Дорофеев Суворова 7 класс (Алгебра)
Решение #1

Рассмотрим вариант решения задания из учебника Дорофеев, Суворова, Бунимович 10-11 класс, Просвещение:
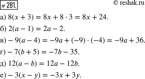
281 Раскройте скобки в произведении:
а) 8(х + 3);
б) 2(а - 1);
в) -9(а - 4);
г) -7(b + 5);
д) 12(а - b);
е) -3(х - у).
*размещая тексты в комментариях ниже, вы автоматически соглашаетесь с пользовательским соглашением