Упр.282 ГДЗ Дорофеев Суворова 7 класс (Алгебра)
Решение #1

Рассмотрим вариант решения задания из учебника Дорофеев, Суворова, Бунимович 10-11 класс, Просвещение:
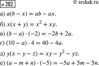
282 Выполните умножение:
а) a(b-x);
б) х(х + у);
в) (b - а) * (-2);
г) (10-а) * 4;
д) у(х - у - z);
е) (а - m + n) * (-5).
*размещая тексты в комментариях ниже, вы автоматически соглашаетесь с пользовательским соглашением