Упр.285 ГДЗ Муравин 7 класс (Алгебра)
Решение #1

Рассмотрим вариант решения задания из учебника Муравин, Муравина 7 класс, Дрофа:
285. Найдите значение выражения:
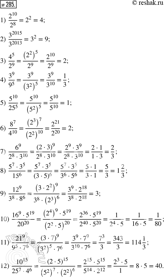
1) 2^10/2^8; 4) 3^9/9^5; 7) 6^9/(2^8 · 3^10); 10) (16^9 · 5^19)/20^20;
2) 3^2015/3^2013; 5) 5^10/25^5; 8) (5^7 · 3^5)/15^6; 11) 21^9/(9^5 · 7^6);
3) 4^5/2^9; 6) 8^7/4^10; 9) 12^9/(3^8 · 8^6); 12) 10^15/(25^7 · 4^6).
*размещая тексты в комментариях ниже, вы автоматически соглашаетесь с пользовательским соглашением