Упр.30 ГДЗ Дорофеев Суворова 9 класс (Алгебра)
Решение #1

Рассмотрим вариант решения задания из учебника Дорофеев, Суворова, Бунимович 9 класс, Просвещение:
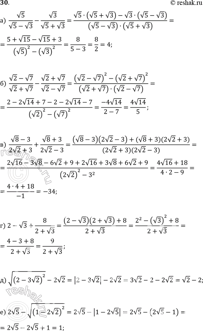
30. Определите, рациональным или иррациональным числом является значение выражения:
а) v5/(v5-v3) - v3/(v5+3);
б) (v2-v7)/(v2+v7) - (v2+v7)/(v2-v7);
в) (v8-3)/(2v2+3) + (v8+3)/(2v2-3);
г) 2-v3+8/(2+v3);
Д) v(2-3v2)^2-2v2;
е) 2v5-v(1-2v5)^2;
*размещая тексты в комментариях ниже, вы автоматически соглашаетесь с пользовательским соглашением