Упр.304 ГДЗ Макарычев Миндюк 9 класс (Углубленный) (Алгебра)
Решение #1

Рассмотрим вариант решения задания из учебника Макарычев, Миндюк, Нешков 9 класс, Просвещение:
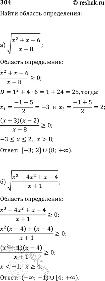
304. При каких значениях x имеет смысл выражение:
а) v((x^2+x-6)/(x-8)); б) v((x^3-4x^2+x-4)/(x+1))?
*размещая тексты в комментариях ниже, вы автоматически соглашаетесь с пользовательским соглашением