Упр.306 ГДЗ Никольский Потапов 7 класс (Алгебра)
Решение #1

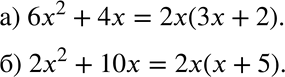
Рассмотрим вариант решения задания из учебника Никольский, Потапов 7 класс, Просвещение:
306. Составьте два многочлена, каждый из которых можно разложить на множители вынесением общего множителя 2х за скобки.
*размещая тексты в комментариях ниже, вы автоматически соглашаетесь с пользовательским соглашением