Упр.320 ГДЗ Никольский Потапов 7 класс (Алгебра)
Решение #1

Рассмотрим вариант решения задания из учебника Никольский, Потапов 7 класс, Просвещение:
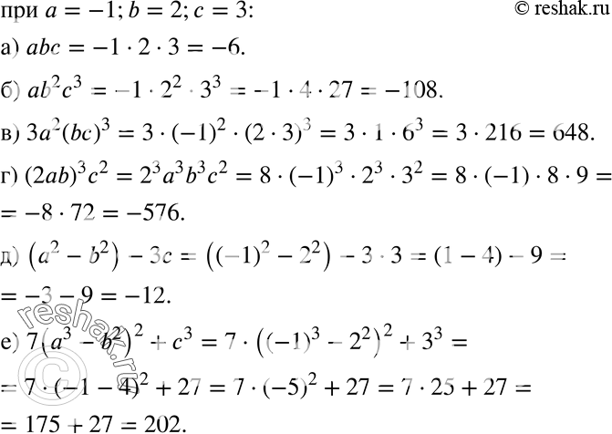
320. Вычислите значение целого выражения:
a) abc;
б) ab2c3;
в) За2 (bс)3;
г) (2аb)3с2;
д) (а2 - b2) - Зс;
е) 7 (а3 - b2)2 + с3
при а = -1, b = 2, с = 3.
*размещая тексты в комментариях ниже, вы автоматически соглашаетесь с пользовательским соглашением