Упр.326 ГДЗ Дорофеев Суворова 8 класс (Алгебра)
Решение #1

Рассмотрим вариант решения задания из учебника Дорофеев, Суворова, Бунимович 8 класс, Просвещение:
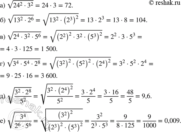
326. Вычислите:
а) v(?24?^2•3^2 );
б) v(?13?^2•2^6 );
в) v(2^4•3^2•5^6 );
г) v(3^4•5^4•2^8 );
д) v((3^2•2^8)/5^2 );
е) v(3^4/(2^6•5^6 )).
*размещая тексты в комментариях ниже, вы автоматически соглашаетесь с пользовательским соглашением