Упр.330 ГДЗ Дорофеев Суворова 7 класс (Алгебра)
Решение #1

Рассмотрим вариант решения задания из учебника Дорофеев, Суворова, Бунимович 10-11 класс, Просвещение:
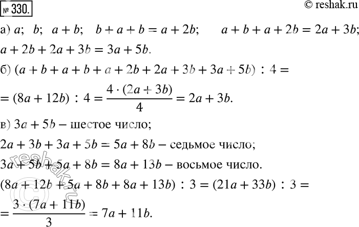
330 В последовательности Фибоначчи каждое число, начиная с третьего, равно сумме двух предыдущих:
1, 1, 2, 3, 5, 8, 13, 21, 34, 55, ... .
а) Обозначьте одно из чисел этой последовательности буквой а, следующее за ним — буквой b и запишите в виде буквенного выражения каждое из четырёх следующих чисел.
б) Докажите, что сумма любых шести последовательных чисел в последовательности Фибоначчи делится на 4.
в) Докажите, что сумма любых восьми последовательных чисел в последовательности Фибоначчи делится на 3.
*размещая тексты в комментариях ниже, вы автоматически соглашаетесь с пользовательским соглашением