Упр.331 ГДЗ Муравин 7 класс (Алгебра)
Решение #1

Рассмотрим вариант решения задания из учебника Муравин, Муравина 7 класс, Дрофа:
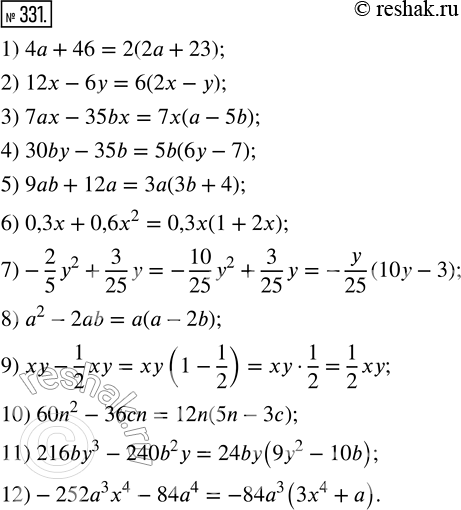
331. Вынесите за скобки общий множитель:
1) 4а + 46; 7) -2/5 y^2 + 3/25 y;
2) 12x - 6у; 8) а^2 - 2аb;
3) 7ax - 35bx; 9) xy - 1/2 xy;
4) 30by - 35b; 10) 60n^2 - 36cn;
5) 9ab + 12a; 11) 216by^3 - 240b^2 y;
6) 0,3x + 0,6x^2; 12) -252a^3x^4 - 84a^4.
*размещая тексты в комментариях ниже, вы автоматически соглашаетесь с пользовательским соглашением