Упр.335 ГДЗ Муравин 7 класс (Алгебра)
Решение #1

Рассмотрим вариант решения задания из учебника Муравин, Муравина 7 класс, Дрофа:
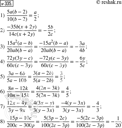
335. Сократите дробь:
1) (5a(b-2))/(10(b-2)); 5) (3a-6b)/(5a-10b);
2) (-35b(x+2y))/(14c(x+2y)); 6) (8n-12k)/(10n-15k);
3) (15a^2(a-b))/(20ab(b-a)); 7) (12x-4y)/(3y-9x);
4) (72y(3y-c))/(60c(c-3y)); 8) (15p-10c)/(200c-300p).
*размещая тексты в комментариях ниже, вы автоматически соглашаетесь с пользовательским соглашением