Упр.340 ГДЗ Муравин 7 класс (Алгебра)
Решение #1

Рассмотрим вариант решения задания из учебника Муравин, Муравина 7 класс, Дрофа:
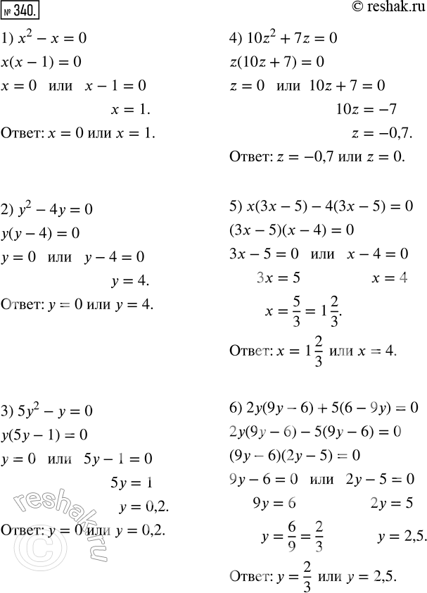
340. Решите уравнение:
1) х^2 - х = 0; 4) 10z^2 + 7z = 0;
2) y^2 - 4y = 0; 5) x(3x - 5) - 4(3x - 5) = 0;
3) 5y^2 - у = 0; 6) 2у(9у - 6) + 5(6 - 9у) = 0.
*размещая тексты в комментариях ниже, вы автоматически соглашаетесь с пользовательским соглашением