Упр.347 ГДЗ Никольский Потапов 8 класс (Алгебра)
Решение #1

Рассмотрим вариант решения задания из учебника Никольский, Потапов 8 класс, Просвещение:
Решите уравнение (347—348):
а) корень (2х2 + х + 3) = х + 3;
б) корень (3х2 + 5х - 1) = 2х + 5;
в) корень (5х - 1) = корень (6х +1);
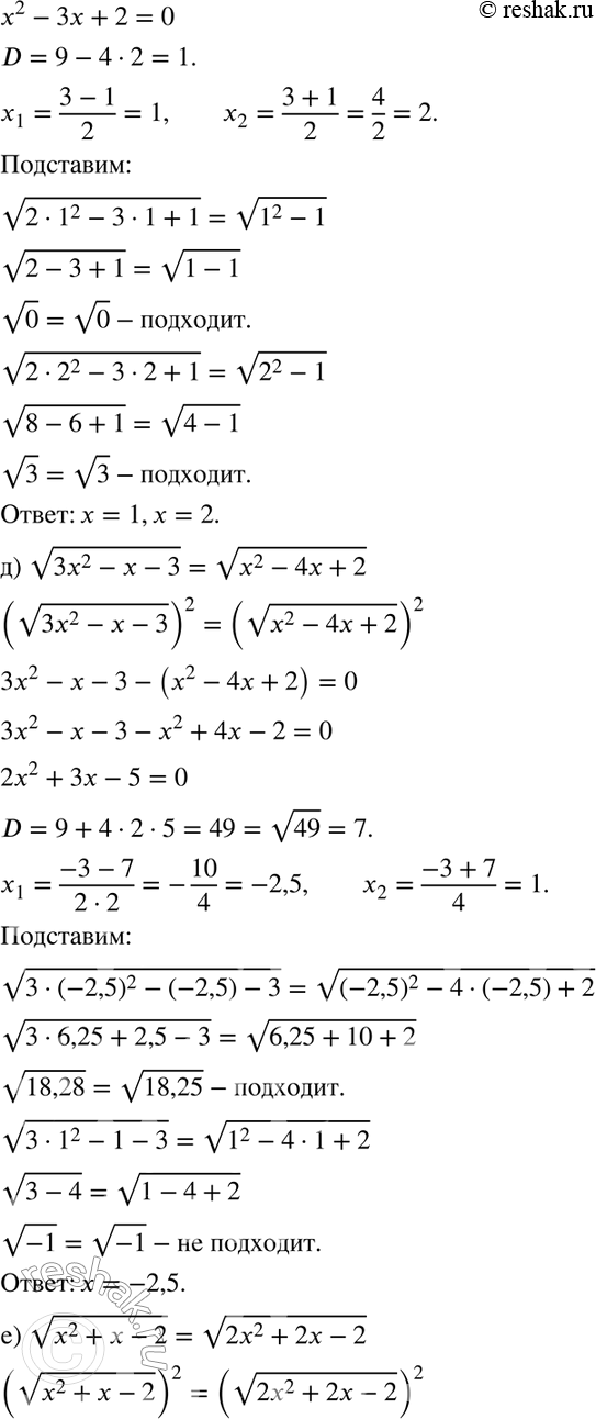
г) корень (2х2 - 3х + 1) = корень (х2 - 1);
д) корень (3х2 - х- 3) = корень (х2 - 4х + 2);
е) корень (х2 + х- 2) = корень (2х2 + 2х- 2);
ж) корень (х2 - 2х + 3) = корень (х2 - х - 1);
з) корень (2х2 - 3x + 5) = корень (х2 + х + 1);
и) корень (2x2 - 3х - 9) = корень (x2 + 4х - 1);
к) корень (2х2 - 5х - 4) = корень (х2 - 10);
л) корень (х2 + 3х - 4) = корень (5x - 4);
м) корень (3x2 - 5х + 7) = корень (х2 - 1);
н) корень (x2 — 6х + 5) = корень (x2 — х);
о) корень (х2 + 2х — 3) = корень (2х2 — 9).
*размещая тексты в комментариях ниже, вы автоматически соглашаетесь с пользовательским соглашением