Упр.352 ГДЗ Дорофеев Суворова 7 класс (Алгебра)
Решение #1

Рассмотрим вариант решения задания из учебника Дорофеев, Суворова, Бунимович 10-11 класс, Просвещение:
Рассуждаем (352 — 353) 3S
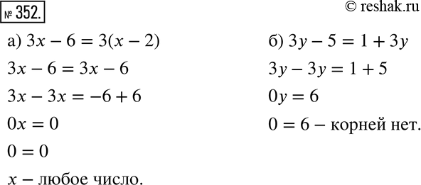
352 Докажите, что:
а) корнем уравнения Зх - 6 = 3(х - 2) является любое число;
б) уравнение 3у - 5 = 1 + 3у не имеет корней.
*размещая тексты в комментариях ниже, вы автоматически соглашаетесь с пользовательским соглашением