Упр.356 ГДЗ Муравин 7 класс (Алгебра)
Решение #1

Рассмотрим вариант решения задания из учебника Муравин, Муравина 7 класс, Дрофа:
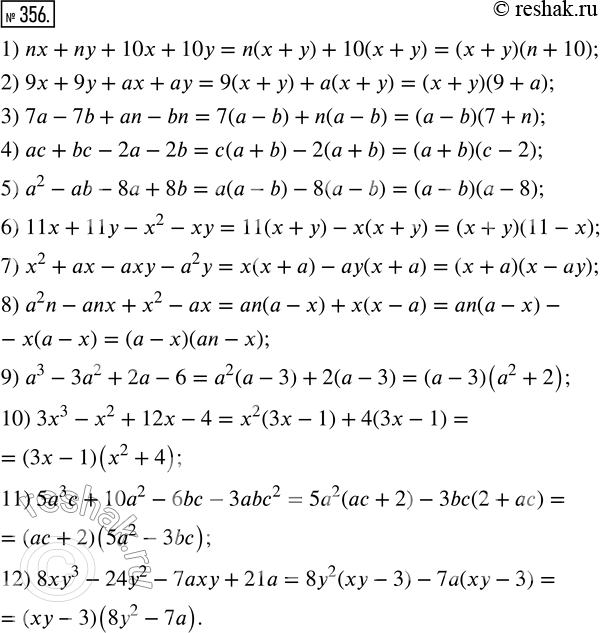
356. Представьте многочлен в виде произведения двух двучленов:
1) nх + nу + 10x + 10y; 6) 11x + 11у - х^2 - ху;
2) 9x + 9у + ах + ау; 7) x^2 + ах - аху - а^2 у;
3) 7а - 7b + аn - bn; 8) а^2n - аnх + х^2 - ах;
4) ас + bс - 2а - 2b; 9) а^3 - 3а^2 + 2а - 6;
5) а^2 - аb - 8а + 8b; 10) 3x^3 - x^2 + 12x - 4;
11) 5а^3 с + 10а^2 - 6bс - 3аbс^2;
12) 8ху^3 - 24у^2 - 7аху + 21а.
*размещая тексты в комментариях ниже, вы автоматически соглашаетесь с пользовательским соглашением