Упр.357 ГДЗ Дорофеев Суворова 8 класс (Алгебра)
Решение #1

Рассмотрим вариант решения задания из учебника Дорофеев, Суворова, Бунимович 8 класс, Просвещение:
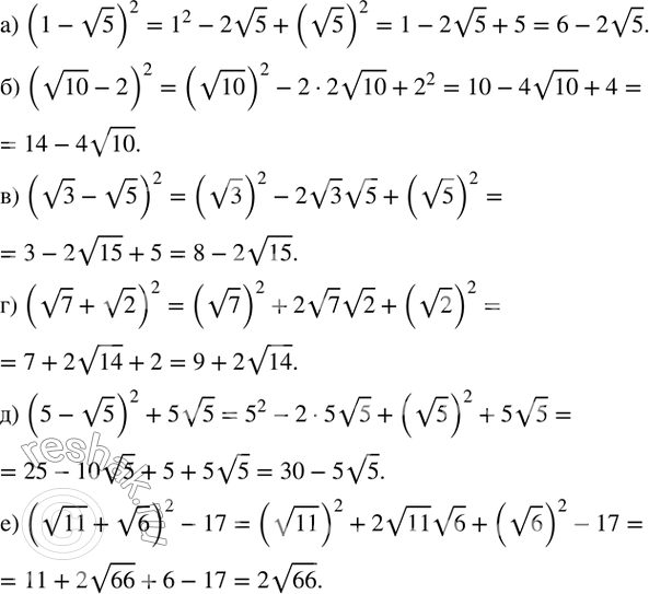
357. Преобразуйте выражение, используя формулы сокращенного умножения:
а) (1-v5)^2;
б) (v10-2)^2;
в) (v3-v5)^2;
г) (v7+v2)^2;
д) (5-v5)^2+5v5;
е) (v11+v6)^2-17.
*размещая тексты в комментариях ниже, вы автоматически соглашаетесь с пользовательским соглашением