Упр.361 ГДЗ Муравин 7 класс (Алгебра)
Решение #1

Рассмотрим вариант решения задания из учебника Муравин, Муравина 7 класс, Дрофа:
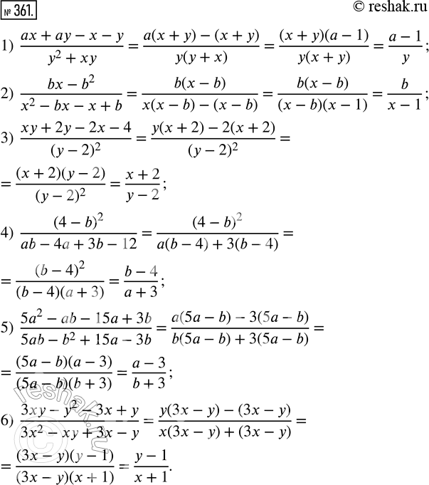
361. Сократите дробь:
1) (ax+ay-x-y)/(y^2+xy); 4) (4-b)^2/(ab-4a+3b-12);
2) (bx-b^2)/(x^2-bx-x+b); 5) (5a^2-ab-15a+3b)/(5ab-b^2+15a-3b);
3) (xy+2y-2x-4)/(y-2)^2; 6) (3xy-y^2-3x+y)/(3x^2-xy+3x-y).
*размещая тексты в комментариях ниже, вы автоматически соглашаетесь с пользовательским соглашением