Упр.363 ГДЗ Муравин 7 класс (Алгебра)
Решение #1

Рассмотрим вариант решения задания из учебника Муравин, Муравина 7 класс, Дрофа:
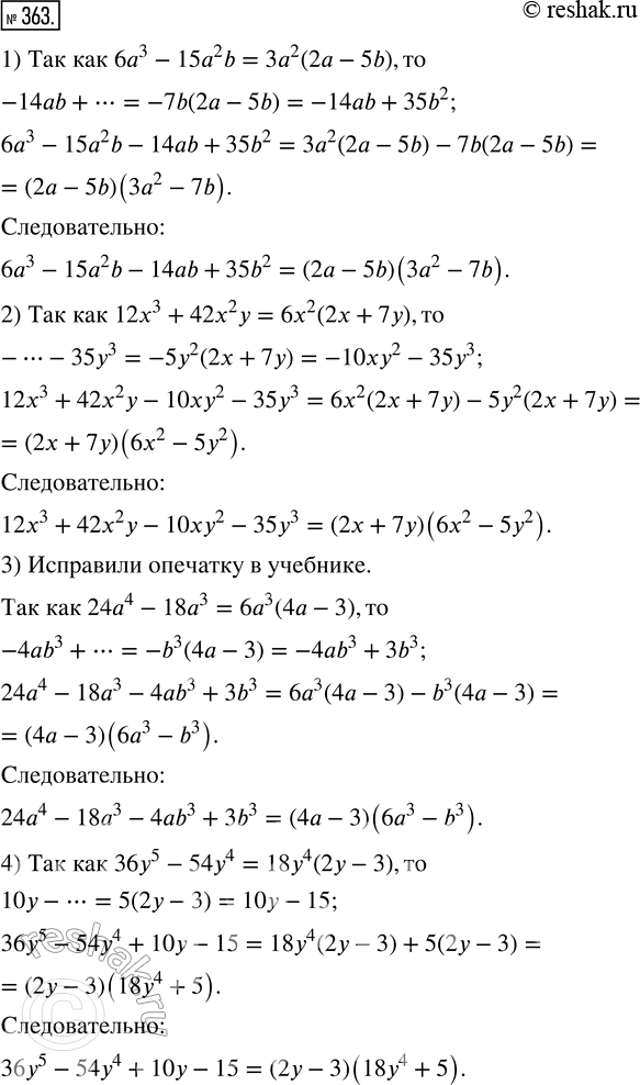
363. Впишите пропущенные одночлены так, чтобы получилось тождество:
1) 6а^3 - 15а^2 b - 14аb + ... = (2а - 5b)(... - ...);
2) 12x^3 + 42х^2 у - ... - 35у^3 = (... - ...)(6x^2 - 5у^2);
3) 24с^4 - 18а^3 - 4аb^3 + ... = (... - ...)(... - ...);
4) 36y^5 - 54у^4 + 10y - ... = (... - ...)(... + ...).
*размещая тексты в комментариях ниже, вы автоматически соглашаетесь с пользовательским соглашением