Упр.369 ГДЗ Дорофеев Суворова 8 класс (Алгебра)
Решение #1

Рассмотрим вариант решения задания из учебника Дорофеев, Суворова, Бунимович 8 класс, Просвещение:
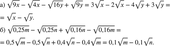
369. Упростите выражение:
а) v9x-v4x-v16y+v9y;
б) v0,25m-v0,25n+v0,16n-v0,16m.
*размещая тексты в комментариях ниже, вы автоматически соглашаетесь с пользовательским соглашением