Упр.369 ГДЗ Никольский Потапов 7 класс (Алгебра)
Решение #1
Решение #2

Рассмотрим вариант решения задания из учебника Никольский, Потапов 7 класс, Просвещение:
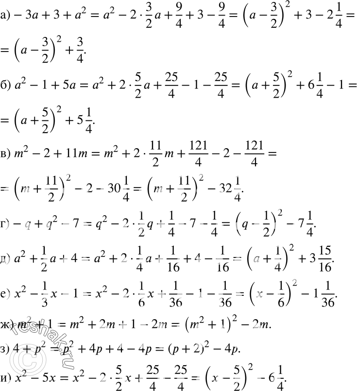
369 а) -За + 3 + а2;
б) a2-1+5a;
в) m2-2+11m;
г) -q + q2 - 7;
д) a2+1/2*a+4;
е) x2-1/3*x-1;
ж) m2 + 1;
з) 4+p2;
и) x2-5x.
*размещая тексты в комментариях ниже, вы автоматически соглашаетесь с пользовательским соглашением