Упр.373 ГДЗ Дорофеев Суворова 7 класс (Алгебра)
Решение #1

Рассмотрим вариант решения задания из учебника Дорофеев, Суворова, Бунимович 10-11 класс, Просвещение:
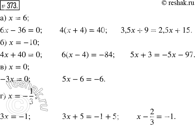
373 Придумайте несколько уравнений, корнем каждого из которых является число:
а) 6;
б) -10;
в) 0;
г) -1/3.
*размещая тексты в комментариях ниже, вы автоматически соглашаетесь с пользовательским соглашением