Упр.380 ГДЗ Дорофеев Суворова 7 класс (Алгебра)
Решение #1

Рассмотрим вариант решения задания из учебника Дорофеев, Суворова, Бунимович 10-11 класс, Просвещение:
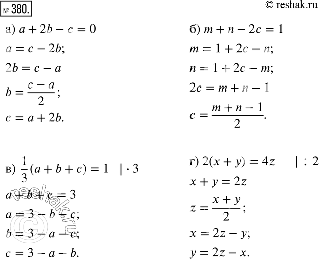
380 Выразите из равенства каждую переменную через другие:
а) а + 2b - с = 0;
б) m + n - 2с = 1;
в) 1/3*(а + b + с) = 1;
г) 2(x + y) = 4z.
*размещая тексты в комментариях ниже, вы автоматически соглашаетесь с пользовательским соглашением