Упр.380 ГДЗ Муравин 7 класс (Алгебра)
Решение #1

Рассмотрим вариант решения задания из учебника Муравин, Муравина 7 класс, Дрофа:
380. Решите уравнение:
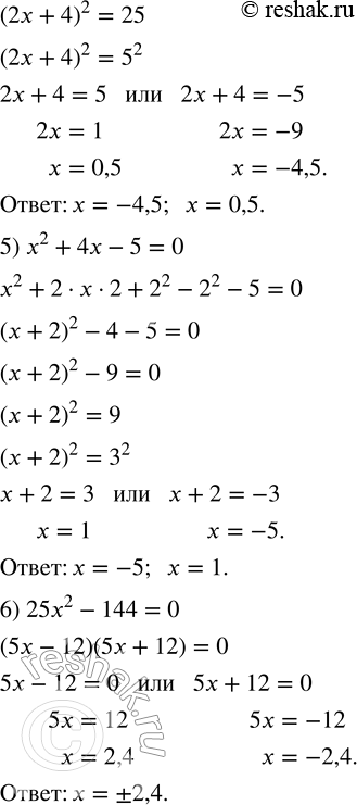
1) x^2 - 49 = 0; 5) x^2 + 4x - 5 = 0;
2) x^2 + 9 + 6x = 0; 6) 25x^2 - 144 = 0;
3) 4x^2 = 9; 7) x^2 - 10x - 24 = 0;
4) 4x^2 + 16x = 9; 8) 16x^2 = 32 + 56x.
*размещая тексты в комментариях ниже, вы автоматически соглашаетесь с пользовательским соглашением