Упр.381 ГДЗ Дорофеев Суворова 8 класс (Алгебра)
Решение #1

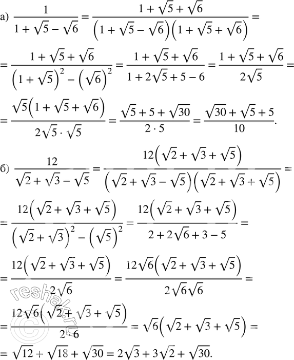
Рассмотрим вариант решения задания из учебника Дорофеев, Суворова, Бунимович 8 класс, Просвещение:
381. Освободитесь от иррациональности в знаменателе дроби:
а) 1/(1+v5-v6);
б) 12/(v2+v3-v5).
*размещая тексты в комментариях ниже, вы автоматически соглашаетесь с пользовательским соглашением