Упр.381 ГДЗ Никольский Потапов 7 класс (Алгебра)
Решение #1

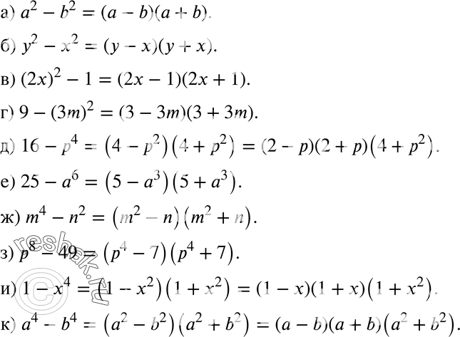
Рассмотрим вариант решения задания из учебника Никольский, Потапов 7 класс, Просвещение:
Разложите многочлен на множители (381—382):
381. а) а2 - b2;
б) y2 - x2;
в) (2x)2 - 1;
г) 9 - (Зx)2;
д) 16 -р4;
е) 25 - а6;
ж) m4 - n2;
з) p8 - 49;
и) 1-x4;
к) а4 - b4.
*размещая тексты в комментариях ниже, вы автоматически соглашаетесь с пользовательским соглашением