Упр.382 ГДЗ Никольский Потапов 7 класс (Алгебра)
Решение #1

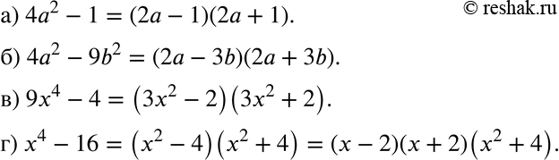
Рассмотрим вариант решения задания из учебника Никольский, Потапов 7 класс, Просвещение:
382. а) 4а2 - 1;
б) 4а2 - 9b2;
в) 9х4 - 4;
г) x4 - 16.
*размещая тексты в комментариях ниже, вы автоматически соглашаетесь с пользовательским соглашением