Упр.39 ГДЗ Дорофеев Суворова 8 класс (Алгебра)
Решение #1

Рассмотрим вариант решения задания из учебника Дорофеев, Суворова, Бунимович 8 класс, Просвещение:
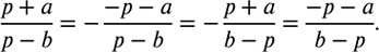
39. Выпишите выражения, равные дроби (p+a)/(p-b):
(p+q)/(b-p); -(-p-a)/(p-b); (-p-a)/(p-b); -(p+a)/(b-p); -(p-a)/(p-b); -(-p-a)/(b-p); (-p-a)/(b-p); (p-a)/(b-p).
*размещая тексты в комментариях ниже, вы автоматически соглашаетесь с пользовательским соглашением