Упр.404 ГДЗ Дорофеев Суворова 8 класс (Алгебра)
Решение #1

Рассмотрим вариант решения задания из учебника Дорофеев, Суворова, Бунимович 8 класс, Просвещение:
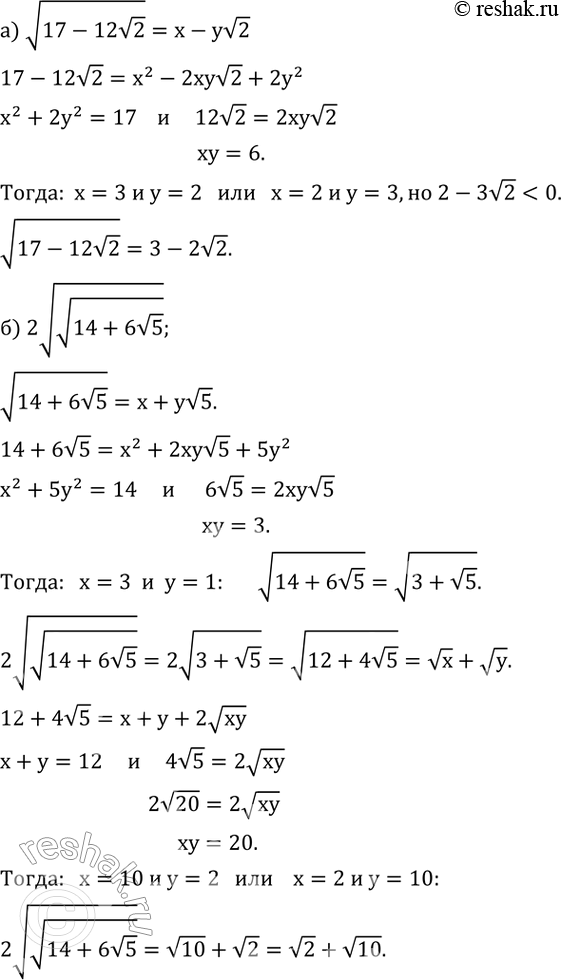
404. Упростите выражение:
а) v(17-12v2) ;
б) 2v(v(14+6v5) ) .
*размещая тексты в комментариях ниже, вы автоматически соглашаетесь с пользовательским соглашением