Упр.407 ГДЗ Никольский Потапов 7 класс (Алгебра)
Решение #1

Рассмотрим вариант решения задания из учебника Никольский, Потапов 7 класс, Просвещение:
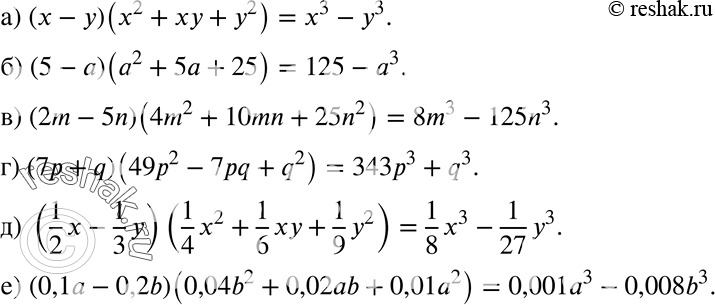
407 Запишите выражение в виде многочлена:
а) (х - у)(х2 + ху + у2);
б) (5 - а) (а2 + 5а + 25);
в) (2m - 5n) (4m2 + 10mn + 25n2);
г) (7р + q)(49р2 - 7pq + q2);
д) (1/2*x - 1/3*y)(1/4*x2+1/6*xy+ 1/9*y2);
е) (0,1а - 0,2b)(0,04b2 + 0,02аb + 0,01а2).
*размещая тексты в комментариях ниже, вы автоматически соглашаетесь с пользовательским соглашением