Упр.415 ГДЗ Муравин 7 класс (Алгебра)
Решение #1

Рассмотрим вариант решения задания из учебника Муравин, Муравина 7 класс, Дрофа:
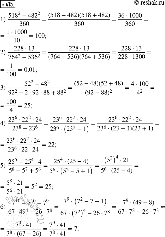
415. Вычислите:
1) (518^2 - 482^2)/360;
2) (228 · 13)/(764^2 - 536^2);
3) (52^2 - 48^2)/(92^2 - 2 · 92 · 88 + 88^2);
4) (23^6 · 22^2 · 24)/(23^8 - 23^6);
5) (25^5 - 25^4 · 4)/(5^8 - 5^7 + 5^6);
6) (7^11 - 7^10 - 7^9)/(67 · 49^4 - 26 · 7^8).
*размещая тексты в комментариях ниже, вы автоматически соглашаетесь с пользовательским соглашением