Упр.422 ГДЗ Дорофеев Суворова 7 класс (Алгебра)
Решение #1

Рассмотрим вариант решения задания из учебника Дорофеев, Суворова, Бунимович 10-11 класс, Просвещение:
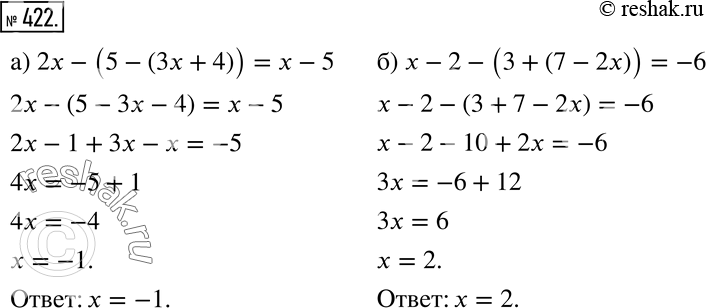
422 a) 2x-(5-(Р—x + 4)) = x-5;
Р±) x-2-(3 +(7-2x)) = -6.
*размещая тексты в комментариях ниже, вы автоматически соглашаетесь с пользовательским соглашением