Упр.423 ГДЗ Дорофеев Суворова 8 класс (Алгебра)
Решение #1

Рассмотрим вариант решения задания из учебника Дорофеев, Суворова, Бунимович 8 класс, Просвещение:
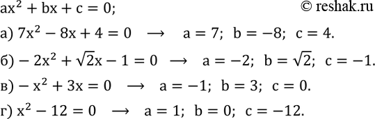
423.Укажите коэффициенты a, b и c квадратного уравнения:
а) 7x^2-8x+4=0;
б) -2x^2+v2 x-1=0;
в) -x^2+3x=0;
г) x^2-12=0.
*размещая тексты в комментариях ниже, вы автоматически соглашаетесь с пользовательским соглашением