Упр.427 ГДЗ Дорофеев Суворова 8 класс (Алгебра)
Решение #1

Рассмотрим вариант решения задания из учебника Дорофеев, Суворова, Бунимович 8 класс, Просвещение:
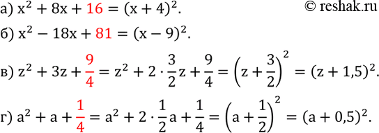
427. Подберите недостающий член квадратного трехчлена так, чтобы его можно было представить в виде квадрата двучлена:
а) x^2+8x+?;
б) x^2-18x+?;
в) z^2+3z+?;
г) a^2+a+?.
*размещая тексты в комментариях ниже, вы автоматически соглашаетесь с пользовательским соглашением