Упр.45 ГДЗ Колягин Ткачёва 7 класс (Алгебра)
Решение #1

Рассмотрим вариант решения задания из учебника Колягин, Ткачёва, Фёдорова 7 класс, Просвещение:
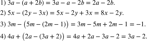
45. Раскрыть скобки и упростить:
1) 3a-(a+2b);
2) 5x-(2y-3x);
3) 3m-(5m-(2-1));
4) 4a+(2a-(3a+2)).
*размещая тексты в комментариях ниже, вы автоматически соглашаетесь с пользовательским соглашением