Упр.452 ГДЗ Дорофеев Суворова 8 класс (Алгебра)
Решение #1

Рассмотрим вариант решения задания из учебника Дорофеев, Суворова, Бунимович 8 класс, Просвещение:
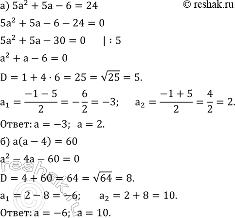
452. Найдите значения переменной a, при которых:
а) значение выражения 5a^2+5a-6 равно 24;
б) значение выражения a(a-4) равно 60.
*размещая тексты в комментариях ниже, вы автоматически соглашаетесь с пользовательским соглашением