Упр.48 ГДЗ Дорофеев Суворова 8 класс (Алгебра)
Решение #1

Рассмотрим вариант решения задания из учебника Дорофеев, Суворова, Бунимович 8 класс, Просвещение:
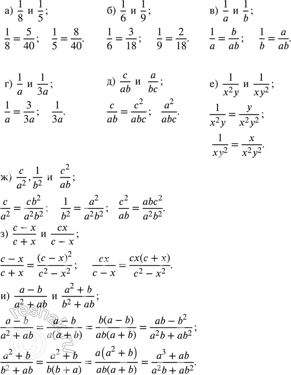
48.Приведите дроби к общему знаменателю.
а) 1/8 и 1/5;
б) 1/6 и 1/9;
в) 1/a и 1/b;
г) 1/a и 1/3a;
д) c/ab и a/bc;
е) 1/(x^2 y) и 1/(xy^2 );
ж) c/a^2 ,1/b^2 и c^2/ab;
з) (c-x)/(c+x) и cx/(c-x);
и) (a-b)/(a^2+ab) и (a^2+b)/(b^2+ab).
*размещая тексты в комментариях ниже, вы автоматически соглашаетесь с пользовательским соглашением